SEQUENCE SERIES
Scroll down to download this pdf
SELECT THE CORRECT ALTERNATIVE (ONLY ONE CORRECT ANSWER)
1 . The maximum value of the sum of the A.P. 50, 48, 46, 44, .................... is -
(A) 325 (B) 648 (C) 650 (D) 652
2 . Let Tr
be the rth term of an A.P. for r = 1, 2, 3, ........... If for some positive integers m, n we
have m
1 T n & n
1 T m , then Tmn equals -
(A)
1
mn (B)
1 1
m n (C) 1 (D) 0
3 . The interior angles of a convex polygon are in AP . The smallest angle is 120° & the common difference is 5°. Find the number of sides of the polygon -
(A) 9 (B) 16 (C) 12 (D) none of these
4 . The first term of an infinitely decreasing G.P. is unity and its sum is S. The sum of the squares of the terms of
the progression is -
(A) S/2S-1
(B) S^2/2S-1
(C) S/2-S
(D) S^2
5 . A particle begins at the origin and moves successively in the 0 1 y 1/16 x 1/4 12 1/8 following manner as shown, 1 unit to the right, 1/2 unit up, 1/4 unit to the right, 1/8 unit down, 1/16 unit to the right etc. The length of each move is half the length of the previous move and movement continues in the ‘zigzag’ manner indefinitely. The co-ordinates of the point to which the ‘zigzag’ converges is -
(A) (4/3, 2/3)
(B) (4/3, 2/5)
(C) (3/2, 2/3)
(D) (2, 2/5)
6 . Let an be the nth term of a G.P. of positive numbers. Let 100 2nn 1
a
= &
100
2n 1
n 1
a
= such that . Then the
common ratio of the G.P. is -
(A)
(B)
(C)
(D)
7 . If p, q, r in harmonic progression and p & r be different having same sign then the roots of the equation
px2
+ qx + r = 0 are -
(A) real and equal (B) real and distinct (C) irrational (D) imaginary
8 . If x > 1, y > 1, z >1 are in G.P., then
1
1 n x , 1
1 n y , 1
1 n z are in -
(A) A.P. (B) H.P. (C) G.P. (D) none of above
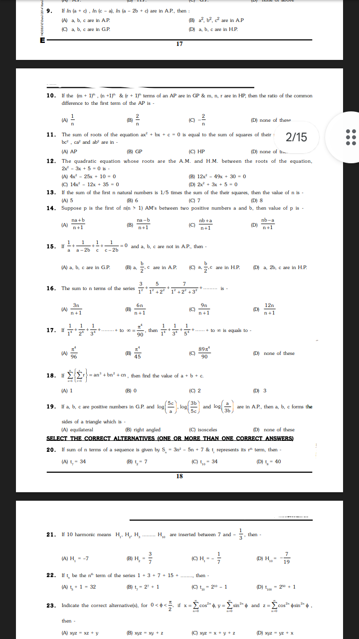
9 . If ln (a + c) , ln (c – a), ln (a – 2b + c) are in A.P., then :
(A) a, b, c are in A.P. (B) a2, b2, c2 are in A.P
(C) a, b, c are in G.P. (D) a, b, c are in H.P.


